
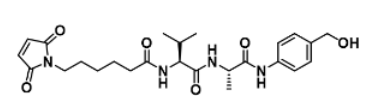
Mal-Val-Ala-PAB 是一种可切割的抗体药物偶联物(ADC)连接子,具有独特的化学结构和广泛的应用价值,以下是对其的详细介绍:
一、化学结构与组成
- 马来酰亚胺(Mal):作为连接基团,具有高度选择性和反应活性,能与蛋白质中的半胱氨酸残基的巯基发生特异性反应,形成稳定的共价键。这一特性使得Mal基团在抗体偶联过程中能够精准定位,确保连接子的正确安装。
- 缬氨酸-丙氨酸(Val-Ala)二肽序列:该序列可被组织蛋白酶B等特定酶识别并切割。在ADC进入靶细胞后,Val-Ala肽键在酶的作用下断裂,触发药物分子的释放。这种酶切机制实现了药物在靶细胞内的精准释放,提高了治疗的特异性。
- 对氨基苄基(PAB):作为连接药物分子的位点,PAB基团通过化学反应与药物分子形成稳定的共价键。在Val-Ala肽键被切割后,PAB基团协助药物分子从连接子上脱离,进入细胞质发挥治疗作用。
结构式
Mal-Val-Ala-PAB
二、反应特性
- 硫醇特异性反应:Mal基团与巯基的特异性反应使得Mal-Val-Ala-PAB能够精准地与抗体上的半胱氨酸残基结合,确保连接子的正确安装。
- 酶切敏感性:Val-Ala肽键对组织蛋白酶B等特定酶的敏感性使得ADC能够在靶细胞内精准释放药物分子,提高治疗的特异性。
- 化学稳定性:在适当的储存条件下(如阴凉、干燥、通风良好的环境),Mal-Val-Ala-PAB能够保持稳定的化学性质,确保其在生物偶联过程中的有效性。
三、储存与使用建议
- 储存条件:Mal-Val-Ala-PAB应储存在阴凉、干燥、通风良好的环境中,避免阳光直射和高温。这样的储存条件有助于保持其化学稳定性,延长其有效期。
- 使用建议:由于Mal-Val-Ala-PAB在溶液状态可能不稳定,建议现用现配,即刻使用。在使用过程中,应严格控制反应条件,确保每一步反应的顺利进行。
温馨提示:仅用于科研,不能用于人体!
相关产品:
Heparin-NHS肝素活化酯
L-谷氨酸钠-牛血清白蛋白
DBCO-HRP
HA-CHO,透明质酸-醛基
巯基修饰奥沙利铂,SH-Oxaliplatin
BSA-DXMS,牛血清白蛋白修饰地塞米松
链霉亲和素-巯基,Streptavidin-SH
DBCO-BSA
氨基修饰海藻酸钠,NH2-Sodium alginate
Mannose-NHS,甘露糖修饰活化酯

)

)
)
)
)
)
)
)
)
)
)
)
)
)