轴承的径向和轴向游隙轴承的径向(轴向)游隙是当轴承无外负荷作用时,一套圈相对另一套圈,从一个径向(轴向)极限位置移向相反极限位置的径向(轴向)距离。在现实中由于套圈的形状误差和滚动体的不一致性,它应采用在套圈的不同方向以及套圈和滚动体不同相对位置状态下的径向(轴向)位移的平均值。

游隙是轴承的一个重要技术参数,它直接影响到轴承的载荷分布、振动、噪音、摩擦、温升、使用寿命和机械的运转精度等技术性能。
游隙过大,会引起轴承内部承载区域减小,接触面应力增大,从而使用寿命缩短。过大的游隙还会使轴承运转精度下降,振动和噪音增大。
游隙过小,可能会在实际运行中出现负游隙(过盈),引起摩擦发热增大,温升提高,进而使有效游隙更小或过盈更大,如此恶性循环将导致轴承抱死。

初始游隙Δo:轴承在未安装状态下不承受载荷时的游隙,即出厂游隙。
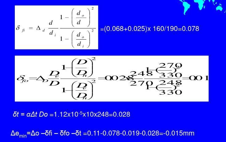
残留游隙Δr:轴承安装后的游隙。轴承在安装后由于配合作用一般内圈胀大,外圈缩小,因此:Δr = Δo –δfi –δfo (1)
展开全文式中,δfi 为内圈和轴配合引起的游隙减少量; δfo 为外圈和轴壳配合引起的游隙减少量。

经验数值(配合):
SRB: RIC减小量为紧配合的85%;
CRB: RIC减小量为紧配合的90%;
RBB: RIC减小量为紧配合的80%;
有效游隙Δe:轴承在实际运转时的游隙。由于轴承在实际工作时受温升和散热条件的影响,一般是内圈温度高于外圈温度,导致游隙减少。因此:
Δe = Δr –δt (2)
式中:δt为轴承内外圈温差导致的游隙减少量。
δt = αΔt Do (mm)
式中,α— 轴承钢的膨胀系数12x10-6 (1/oC);
Δt — 内外套圈的温度差(oC),Δt = T内 - T外
Do — 外圈滚道直径(mm)。
Do 如无确切数据,可按以下方法估计:对球轴承和调心滚子轴承:Do=(4D+d)/5
对圆柱滚子轴承:Do=(3D+d)/4

举例:




用户在选择游隙时,有条件情况下应该按照公式

理想的有效游隙应当是零游隙,因为能得到最佳的载荷。分配和最长的使用寿命。为了获得较大的刚性和较高旋转精度,可以让轴承在适当的负游隙状态下工作。
但是由于受到安装、配合及轴和孔的加工精度等的影响,理想的零游隙和适当的负游隙很难控制和保证。
因此当工作条件变化较大,安装配合控制得不严,内圈散热条件差,从安全性考虑,则应保留一定的有效游隙,或以最坏情况来验算有效游隙。如用户没有条件做有效游隙验算时,可以参照下表选择游隙。









以上介绍了轴承游隙的基本概念、不同状态下的游隙和相互之间的关系、有效游隙的计算方法、如何选择合适的游隙等内容。通过这些内容的介绍,使您能更科学和合理地选择轴承游隙,延长轴承的使用寿命。
)
)
)
)
)

)
)
)
)

)
)
)
)
)