
您在活细胞钙离子成像中是否曾为以下问题烦恼?
信号弱? 传统红色染料(如X-Rhod-1)荧光暗淡,数据信噪比低。
定位不准? 染料特异性差,聚集在线粒体,无法反映真实的胞质钙信号。
无法多重检测? 染料光谱与GFP、FITC等重叠,难以进行多色实验。
现在,我们为您带来革命性的解决方案——Cal-630™ 红色荧光钙离子指示剂!
为什么选择Cal-630™?
Cal-630™是新型红色荧光钙探针,旨在全面超越X-Rhod-1,为您提供更卓越的性能:
更明亮的荧光 & 更强的钙响应
在CHO和HEK等活细胞中,Cal-630™经酯酶水解后,能产生远比X-Rhod-1更明亮的荧光。
其钙离子结合后荧光变化(ΔF/F)显著提升,确保您能捕获到更清晰、更灵敏的动态钙信号。
优异的胞质定位,真实反映钙变化
与主要定位于线粒体的X-Rhod-1不同,Cal-630™能更好地停留在细胞质中,直接监测胞质钙离子的瞬时变化,提供更可靠、更准确的实验数据。
专为多重检测优化,兼容性好
Cal-630™拥有约630 nm的红色发射光谱,与FITC、Alexa Fluor® 488和GFP的绿色荧光通道能实现好的分离。
可以在同一实验中,同时使用Cal-630™监测钙信号,并用GFP标记目标蛋白或用iFluor® 488抗体进行检测,轻松实现多重化细胞内分析。
即插即用的便捷体验
Cal-630™与通用的Texas Red®滤光片组兼容,无需为您的成像系统添置特殊配置。
卓越性能,数据说话
图1: 清晰展示了Cal-630™(红色)与Cal-520™(绿色)、Cal-590™(橙色)的发射光谱分离情况

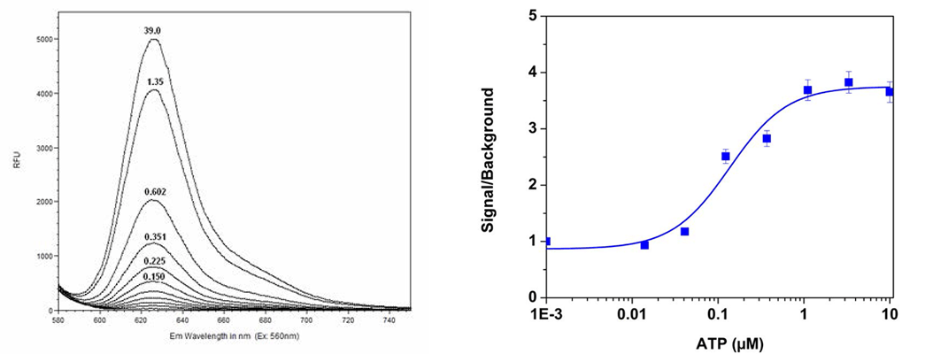
图2: 左图显示Cal-630™在0-39 µM游离钙环境下的荧光发射光谱,证明其出色的钙响应特性;右图在CHO-K1细胞中成功检测到由ATP刺激内源性P2Y受体引发的灵敏、强劲的钙流信号。

图3: 显微镜成像结果直观对比了加入ATP前后细胞荧光强度的剧烈变化,验证了Cal-630™在实时监测细胞生理活动中的可靠性。
应用场景
与FITC或iFluor® 488标记的抗体联用,进行免疫荧光与钙成像的同步分析。
需要高信噪比、红色通道的高通量药物筛选(HTS)。
监测GPCR激活、神经元活动等多种生理病理过程中的钙信号。
选择Cal-630™,就是选择更明亮、更特异、更便捷的多重检测体验。别再让传统染剂的局限阻碍您的科学发现!
联系百萤生物,了解更多产品信息(Cat# 20530)并获取专属技术支持!
)
)
)
)
)
)
)
)
)
)

)
)
)
)
)