
DBCO-PEG4-Val-Ala-PAB-PNP 是一种多功能分子,结合了点击化学反应活性、水溶性增强特性、酶切敏感性及生物活性,在生物医学、材料科学和药物递送等领域具有广泛应用前景。
一、化学结构与组成
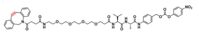
- DBCO 基团:二苯并环辛炔(DBCO)是一种常用于点击化学反应的基团,它能与含有叠氮(Azide)基团的分子在温和条件下高效且特异地反应,形成稳定的共价键。这种反应条件温和、速率快且选择性高,使得 DBCO 基团在生物医学研究和药物开发中具有重要应用。
- PEG4 间隔物:PEG(聚乙二醇)链具有良好的水溶性和生物相容性,能减少分子的免疫原性,延长药物在体内的循环时间,增加药物的稳定性,还可减少药物对正常组织的毒性,提高药物的特异性。PEG4 表示分子中含有四个乙二醇单元的聚乙二醇链。
- Val-Ala 二肽:由缬氨酸和丙氨酸组成的二肽片段,可被组织蛋白酶 B 裂解。在细胞内特定酶的作用下,Val-Ala 二肽会发生切割,释放出药物部分,使药物能够在靶细胞内部精准释放。
- PAB 基团:对氨基苯甲酸(PAB)是一种常用的药物连接基团,可与药物分子通过化学反应进行偶联。在 Val-Ala 二肽被裂解后,PAB 基团能促使药物释放到细胞质中。
- PNP 基团:对硝基苯酚(PNP)是一种具有反应活性的酚类化合物,可通过特定的酶反应(如磷酸酯酶或硝基还原酶)释放药物,从而在靶向治疗中发挥作用。
结构式:
DBCO-PEG4-Val-Ala-PAB-PNP
二、合成方法
DBCO-PEG4-Val-Ala-PAB-PNP 的合成可以通过多步有机化学反应实现:
- 通过点击化学反应将 DBCO 基团连接到 PEG4 的一端。
- 利用肽键将 Val-Ala 二肽连接到 PEG4 的另一端。
- 通过酰胺键将对氨基苯甲酸(PAB)连接到二肽的羧基端。
- 最后通过酯化反应将对硝基苯酚(PNP)连接到 PAB 的氨基端。
整个合成过程需要严格控制反应条件,确保每一步反应的顺利进行。
三、储存条件
DBCO-PEG4-Val-Ala-PAB-PNP 应储存在 -20°C 的干燥避光环境中,以保持其稳定性和活性。
温馨提示:仅用于科研,不能用于人体!
相关产品:
DBCO-PEG20K-OMe
DBCO-PEG23-amine
DBCO-PEG24-acid
DBCO-PEG24-Maleimide
DBCO-PEG24-NHS ester
DBCO-PEG24-O-amine
DBCO-PEG2-Maleimide
DBCO-PEG3-Alcohol
DBCO-PEG3-amine
DBCO-PEG3-F
)
)
)
)

)
)
)
)
)
)

)
)
)
)